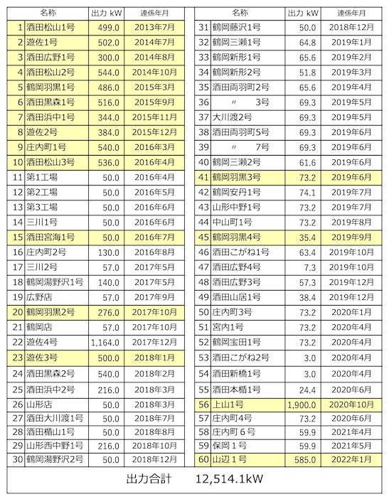
2022年2月現在、弊社が設置管理している太陽光発電所は、60箇所、出力合計は約12,514.1kWとなっており、2022年度中には、13,341kWとなるよう努力しております。
資金力のある大企業などがつくる『企業ソーラー』に対し、市民や中小企業が少しづつお金を出し合い、つくり上げるのが『分譲型市民ソーラー』です。
オーナー様の手を、全く煩わせることなく、20年間、毎年売電収益を受け取ることができます。
これからも『卒原発』『CO2削減による地球温暖化ストップ』の目標のもとに、社内一丸となって頑張ってまいります。

